Introduction
In the second year of life, most children undergo substantial increases in the number of words that they can say (Bates et al., 1994; Fenson et al., 1994), going from producing just a few single words to amassing an expressive vocabulary of several hundred words1 (Frank et al., 2021). However, there is also considerable variability across children in when and how quickly their expressive vocabulary grows. Some children begin to produce their first words around their first birthday and quickly expand their vocabularies over the next several months. Other children, often referred to as “late talkers” (LT) (Fisher, 2017; Rescorla & Dale, 2013), may not do so until months later and may experience delays in vocabulary development that persist throughout the preschool period.
But how stable are these individual differences over time? On the one hand, variation in a composite of early language skills identified late in the second year has been shown to be correlated with language and literacy skills in school age (Bornstein et al., 2016), suggesting persistence in individual differences in language skills across the first decade of life. However, few studies have explored whether variation in expressive language skills identified earlier, e.g., younger than 16 months, can meaningfully predict outcomes (e.g. Ukoumunne et al., 2012). On the other hand, even when assessed at 2 years, it is well-established that early expressive vocabulary skills alone are not a strong correlate of persistent language delays or developmental language disorder (DLD) (Rescorla, 2011). This suggests that some children with early delays experience “catch-up” in vocabulary, displaying more rapid growth over the same period of time than other children. A critical question is what additional factors might explain these individual differences? Several possibilities have been explored in the literature, including birth order, family history, and socioeconomic status (e.g., Fisher, 2017, Hammer et al, 2017). Here, we focused on one factor that has been shown to be particularly predictive of later outcomes, i.e., early comprehension abilities. We asked the extent to which receptive vocabulary scores moderated the longitudinal trajectories of expressive vocabulary growth across the second year of life in Hebrew-learning children who range in early expressive vocabulary skills.
Parent Reports of Early Vocabulary
Parent report questionnaires, such as the MacArthur-Bates Communicative Development Inventories (CDIs, Marchman et al., 2023) or the Language Development Survey (LDS, Rescorla, 1989), are commonly used tools for assessing children’s vocabulary development, especially for toddlers under 3 years of age. The CDIs, developed originally for American English, have now been adapted to more than 60 languages (see https://mb-cdi-stanford.edu/adaptations.html) and have been demonstrated to provide reliable and cost-effective estimates of children’s burgeoning language skills. Many of these instruments are now available online, easing the burden of administration and scoring required by traditional paper-and-pencil forms (deMayo et al., 2021). For example, the Hebrew adaptation of the Words & Gestures (WG) online form (HCDI-WG, Gendler-Shalev & Dromi, 2022) was developed and normed for Hebrew-speaking children 12 to 24 months of age. Via a vocabulary checklist, parents are asked to mark, from among a representative list of hundreds of possible items, the words that their child “understands” or “understands and says,” yielding measures of receptive and expressive vocabulary size.
Based on data from thousands of children around the world from many language communities, studies using the CDIs have contributed substantial insights regarding both the universal features and the variation that characterizes early vocabulary development (Frank et al., 2021). For example, studies have explored the predictors of what words children are first likely to learn (Braginsky, Yurovsky, Marchman, & Frank, 2019; McDonough et al., 2011), and the sources of crosslinguistic differences that elucidate language-specific rather than universal characteristics of early language development (Bleses et al., 2008a; 2011). Importantly, several large-scale studies have provided lexical development norms that reveal the substantial individual differences that exist across children, regardless of the language they are learning. These norms also provide useful benchmark levels for the expected vocabulary size for children of a given age from different language communities (Bleses et al., 2008b; Hao et al., 2008; Kalashnikova et al., 2016), including Hebrew (Gendler-Shalev & Dromi, 2022).
Vocabulary Growth in Children Who Are Slow to Begin to Talk
One of the most common reasons that toddlers are referred for a clinical evaluation is late onset of recognizable words or a small expressive vocabulary size towards their second birthday (Whitehurst & Fischel, 1994). Toddlers younger than 3 years who produce only a few words, in the absence of a diagnosed developmental disability or hearing impairment, are often labeled as late talkers (LT) (Fisher, 2017). Most studies define LT at the age of about 24 months (Fisher, 2017; Rescorla, 2009), however, other studies do so earlier at the age of 18 months (Fernald & Marchman, 2012). While previous practice assumed that early delays in children younger than 2 years were not clinically relevant, there is now a growing shift towards early referral and intervention approaches, thereby, abandoning the “wait and see” approach (e.g., Edwards et al., 2021; Singleton, 2018).
Note that LT status, by itself, does not constitute a clinical diagnosis, as most LT children “catch up” to their peers by preschool. At the same time, some LT children do show continued delays and are diagnosed with DLD as they grow older (Rescorla, 2011). Moreover, as a group, even LT children who move into the typical range of expressive vocabulary distribution and therefore, who are not diagnosed with DLD, still show lower academic performance than children without a history of late talking (Bleses et al., 2016; Rescorla & Dale, 2013). As such, children identified as LT are considered to be at risk for exhibiting language and learning disorders later in development, thus making accurate early identification of LT children a clinical vital importance (Fisher, 2017). Few studies have asked whether early delays in the onset of expressive vocabulary can predict trajectories of vocabulary growth when assessed in children younger than 16 months, prior to the point when children are commonly labeled “late talkers” (e.g., Ukoumunne et al., 2012).
An important question is whether language learning mechanisms operate similarly in children who show initial delays in early expressive vocabulary compared to their peers who begin to talk earlier, or are delays indicative of atypical processes of vocabulary growth. For example, Jones and Brandt (2019) compared the characteristics of the words in the lexicons of English-speaking 18-month-old toddlers with smaller versus larger expressive vocabulary sizes. They found that toddlers with smaller vocabularies showed comparable vocabulary compositions to those of younger children, as reported by Braginsky et al. (2019), suggesting delayed but not atypical processes of vocabulary development. These findings align with a study demonstrating that children who were identified as LT and younger typically developing children with similar vocabulary sizes had similar vocabulary characteristics (Gendler-Shalev & Novogrodsky, 2024). However, Jiménez et al. (2021) found that English-speaking toddlers who were identified as LT showed a weaker noun bias compared to vocabulary-size matched typically-developing toddlers, suggesting atypical vocabulary growth. In the current longitudinal study, we compared the shapes of the trajectories in expressive vocabulary growth over the second year of life in Hebrew-speaking toddlers who have higher vs. lower expressive vocabulary skills when first inducted into the study (12-16 months). If children with lower and higher early expressive skills show similar shapes of vocabulary growth, this suggests continuity in mechanisms guiding development in children in both groups. However, if toddlers with early initial delays show patterns of vocabulary growth over time that are not parallel to those of children with initially higher early expressive skills, this could suggest different learning mechanisms are associated with delayed onset of expressive vocabulary.
Correlates of Early Vocabulary Delays
In addition to small vocabulary size, research, predominately in English-speaking children, has identified other differences between children with relatively larger vs. smaller early expressive vocabularies. As a group, late-talking 16–18-month-olds have been shown to demonstrate limited use of communicative gestures (Thal & Tobias, 1994) and limited range of symbolic play skills (Hall et al., 2013), as well as phonological delays and deviations (Carson et al., 2003). At older ages, children with early expressive vocabulary delays were also found to produce word combinations later than their typically developing peers (Dale et al., 2003) and upon reaching school-age, also showed delays in grammatical proficiency (Moyle et al., 2007; Rescorla, 2011).
Notably, early receptive abilities have been associated with delays in early expressive language skills. Laboratory experiments have shown that infants begin comprehending words around 6–9 months (Bergelson & Swingley, 2012) and after their first birthday, infants' word comprehension abilities typically improve notably (Bergelson, 2020; Meylan & Bergelson, 2022). Although most infants understand words a few months before they produce them, receptive and expressive vocabularies are strongly, although not perfectly, correlated (Frank et al., 2021). In a laboratory study assessing comprehension and production of novel object names (Gershkoff-Stowe & Hahn, 2013), children with larger expressive vocabularies, as measured by the CDI, tended to comprehend new words faster than those with smaller expressive vocabularies. Surprisingly, children with larger expressive vocabularies took more time to verbalize new words (which they comprehended earlier) compared to children with smaller expressive vocabularies. The authors suggested that this phenomenon could be attributed to the increase in semantic neighborhood density, aiding comprehension while possibly hindering lexical access during production. These results contribute to the idea that while comprehension and production are closely linked, they are enhanced by distinct underlying processes. Moreover, these findings suggest that receptive and expressive language skills undergo a complex interplay over the course of acquisition.
If children with early expressive delays also exhibit low receptive skills, this may signify additional risk for later expressive skills. Indeed, research has shown that some children with early vocabulary delays exhibit a large gap between the sizes of their receptive and expressive vocabularies (Rescorla, 2011), while others appear to have a small gap and experience delayed receptive as well as expressive vocabularies (Cheung et al., 2022; Verganti et al., 2024). Buschmann et al. (2008) reported that children classified as LT who also had smaller receptive vocabulary sizes tended to have lower nonverbal IQs (though still within age-typical ranges) than LT children with larger receptive vocabulary sizes. In contrast, LT children who had smaller expressive vocabulary sizes, but who did not also display smaller receptive vocabularies, did not. Similarly, Verganti et al. (2024) found that Italian-speaking children with delayed expressive and receptive vocabulary sizes produced fewer gestures than children with only delayed expressive vocabulary sizes. Finally, toddlers with lower expressive vocabularies at 18 months were slower and less accurate in comprehending language in real time, as measured by the looking-while-listening task, than toddlers without initial expressive delays (Fernald & Marchman, 2012). These results are consistent with the work of Thal et al. (2013), who compared the outcomes of English-speaking “late producers” (children with late expressive vocabulary only) with “late comprehenders” (children with both late receptive and expressive vocabulary) at age 6 years. These researchers found that “late comprehenders” were at higher risk for later language delays than “late producers”, i.e., children with expressive delays who had receptive skills within the normal range.
At the same time, few studies have explored whether weaker early comprehension skills may potentially place expressively-delayed children at additional risk when those delays are assessed early in the 2nd year. Moreover, less is known about whether delays in early receptive skills are related to trajectories of expressive vocabulary growth longitudinally, over multiple time points during the 2nd year of life. From a clinical perspective, few studies have explored what level of concomitant receptive delays are likely to incur additional risk for children who show initial delays in expressive skills.
The Current Study
We investigated trajectories of Hebrew-speaking children’s expressive vocabulary growth longitudinally at multiple administrations in the 2nd year of life. At the first administration (ranging in age from 12 to 16 months), we classified children as “higher” vs. “lower”2 in expressive language skills based on their percentile score in expressive vocabulary (≤ 25th vs. > 25th), as reported on the HCDI-WG at the first administration. We also grouped children using two cut-off scores for receptive vocabulary percentile at that same administration (12-16 months). We first grouped children using a cutoff that was analogous to that used for expressive language (i.e., +/- 25th percentile). Toddlers with lower expressive vocabulary percentile scores who also have lower receptive vocabulary percentiles would fall in the lowest quartile in both expressive and receptive language skills. We then grouped children based on a more liberal cut-off for receptive vocabulary (i.e., +/- 50th percentile). Contrasting these two percentile cut-offs allows us to gain more insights into what profile of receptive skills shape trajectories of expressive language growth in children with initially higher vs. lower expressive vocabulary sizes at 12-16 months.
We conducted growth curve modeling over age to investigate the following questions:
(1) When defined at 12-16 months, is higher vs. lower expressive vocabulary a predictor of trajectory of growth in expressive vocabulary across the 2nd year of life?
(2) Are trajectories of expressive vocabulary growth from 12-24 months similar in shape in children who have initially higher vs. lower expressive skills?
(3) Does level of early receptive vocabulary skill moderate trajectories of expressive vocabulary growth in children with initially higher vs. lower expressive vocabulary abilities? If so, are patterns similar when grouping children using the 25th vs. 50th percentile on receptive vocabulary?
Method
Participants
Participants were Hebrew-speaking caregivers of 92 toddlers aged 12-24 months. All parents reported that their child had not been diagnosed with a medical or developmental condition and that they had not been treated for an ear infection more than once in the last three months. Hebrew was the primary language for all children, with all children being exposed to Hebrew for at least ten hours a day. Finally, all parents reported that they were not worried about the rate of the child’s development.
The families were from predominantly highly educated backgrounds, with 89% of primary caregivers in the sample holding a college degree, compared to 48% in the general population (Gendler-Shalev & Dromi, 2022). Using data from a larger study (Gendler-Shalev & Dromi, 2022), data were analyzed for all children in that sample whose caregivers completed a HCDI-WG for the first time when their child was 12-16 months and completed additional administrations at two subsequent time points prior to when the child was 24 months. A total of 3 additional families were considered for analyses but were later excluded because the child fell outside of the target age range (n = 2) and because it was later discovered that the child was exposed to a language other than Hebrew in the home (n = 1). Although the sample size in the current study may appear limited, it is consistent with prior studies in the field (i.e., Carson et al., 2003; Hadley & Holt, 2006; Hadley & Short, 2005).
Expressive Vocabulary Groups. Children were classified based on their expressive vocabulary scores at the first administration of the HCDI-WG according to the norms for Hebrew (Gendler-Shalev & Dromi, 2022) as either initially lower (n = 21, ≤ 25th percentile) or as higher expressive vocabulary scores (n = 71, > 25th percentile). While these children in the initially lower group could be conceptualized as “late talking”, we do not use the term “late talker” here. Given the young age of our participants and the broad developmental variability at this stage, we opted for the more nuanced terms "lower" vs. “higher” in expressive vocabulary percentile score, relative to their age, similar to the approach taken by Vehkavuori & Stolt (2019). Note also that different studies have classified children as LT based on different criteria. While some previous studies have used more stringent cut offs, for example, the 10th (e.g., Bleses et al., 2016), 15th (e.g., Thal et al., 2004), or 20th (Fernald & Marchman, 2012) percentiles, less stringent criteria of the 30th percentile have also been reported (Jones, 2003). Here, we opted for a cutoff of 25th percentile, which allowed us to differentiate children in the lowest quartile of expressive vocabulary skill from those in the top three quartiles, while still maintaining a sufficiently large sample in the lower expressive vocabulary group. Table 1 reports the number of children at enrollment by age, vocabulary group, and child sex.
Receptive Vocabulary Groups. In order to test the role of early receptive skill on growth trajectories, children were also classified into receptive vocabulary groups using two percentile score levels computed at the first administration of the HCDI-WG across the full sample. First, we grouped children into groups based on an analogous cut-off as that used for expressive vocabulary, i.e., in the bottom quartile vs. the top three quartiles for their age (lower receptive vocabulary: ≤ 25th percentile, n = 27; higher receptive vocabulary: > 25th percentile, n = 65). Second, we grouped children into receptive vocabulary groups using a more liberal definition, i.e., a 50th percentile cut-off. Here, children with lower receptive vocabulary percentiles would fall in the bottom vs. top half of the distribution for their age (lower: ≤ 50th percentile, n = 45, higher: > 50th percentile, n = 47).
Table 1. Number of participants by age in months at the first administration of the MB-HCDI and child sex in children identified as higher (n = 71) and lower (n = 21) in expressive vocabulary at 12-16 months and in the full sample (n = 92).
| Age (mos) | Initial Expressive Vocabulary Group | Full Sample | ||||
| Higher | Lower | |||||
| Boys | Girls | Boys | Girls | Boys | Girls | |
| 12 | 7 | 9 | 1 | 1 | 8 | 10 |
| 13 | 11 | 6 | 0 | 0 | 11 | 6 |
| 14 | 6 | 10 | 0 | 1 | 6 | 11 |
| 15 | 10 | 5 | 6 | 5 | 16 | 10 |
| 16 | 6 | 1 | 4 | 3 | 10 | 4 |
| Total | 40 | 31 | 11 | 10 | 51 | 41 |
Procedure
Vocabulary data were collected via an online Hebrew adaptation of the MacArthur-Bates Communicative Development Inventory: Words & Gestures (HCDI-WG; Gendler-Shalev & Dromi, 2022). The HCDI-WG is a reliable and valid tool for evaluating early lexical development of Hebrew-speaking children from 12-24 months. The questionnaire consists of a vocabulary checklist with 428 words in 18 categories. Caregivers are asked to mark the words that the child “understands” or “understands and says.” Total comprehension and production vocabulary scores were tabulated and percentiles were derived based on age in months and child sex following standard protocols.
Caregivers were initially approached via social media, web news sites, and radio and TV talk-shows to participate in a longitudinal study on child language development. After completing the first HCDI-WG, caregivers of children who were younger than 16 months were contacted approximately every four months via email and asked to complete two additional HCDI-WGs. Because the initial administration occurred at varying ages, the parent of one child may have completed the HCDI-WG when the child was, for example, 12, 16, and 20 months, and another when the child was, for example, 13, 17, and 21 months.
Analytic Plan
We first present descriptive statistics for raw vocabulary production scores as a function of child age and expressive vocabulary group (initially higher vs. lower at 12-16 months). We then present percentiles for vocabulary production and comprehension at each administration by group. To model trajectories of expressive vocabulary growth, we used generalized additive models for location, scale, and shape (GAMLSS). GAMLSS is a general regression framework for modeling fixed effect and mixed-level growth functions. Mixed-level growth functions are used to model longitudinal data with multiple administrations within participant over time or age. GAMLSS has advantages over other frameworks because it offers a flexible method for modeling trajectories that are non-linear and for capturing changes in variance over age. Models were fit using the GAMLSS function (Stasinopoulos et al., 2017) in the R statistical package (Version 4.0.3; R_Core_Team, 2020). Based on earlier work (Frank et al., 2021; Marchman et al., 2023), the growth trajectory of parent-reported expressive vocabulary scores over age is best described as a beta distribution, similar to a logistic function, that is limited by, but does not include, 0 and 1. Prior to conducting the models, raw vocabulary scores were converted to a proportion score and extreme values were set to 0.001 and .999. Following earlier studies, penalized B-spline smoothers (i.e., P-splines) were used to model the effect of age on the mean and variance in vocabulary. As in earlier studies with vocabulary data, the lambda values, or smoothing parameters, were set to a large number (10,000) to ensure sufficiently smooth growth over age without overfitting (Marchman et al., 2023).
Our main focus was to examine trajectories of expressive vocabulary growth over age as a function of expressive vocabulary group, i.e., in children initially identified as either lower or higher percentiles at first administration. Group and age of administration were fixed effects. Group was dummy coded with higher expressive vocabulary as the reference group. To capture the repeated nature of our data, participant was included as a random effect on the intercept. Significant main effects would indicate that the mean levels of expressive vocabulary growth differed in children with initially lower vs. higher expressive vocabulary percentiles. A significant age x group interaction would indicate that the shapes of the growth trajectories over age were different as a function of initial expressive vocabulary group.
A second goal was to examine whether growth trajectories for children with initially lower vs. higher expressive vocabularies were different as a function of early receptive vocabulary level. We conducted two parallel analyses testing the effects of two receptive vocabulary level groupings. In both sets of analyses, receptive vocabulary group was added to the model as a fixed effect, dummy coded with “higher” as the reference group. Participant was included as a random effect on the intercept. In both sets of models, a significant main effect of receptive vocabulary group would suggest that children’s expressive vocabulary growth was related to their early receptive vocabulary level. A significant interaction of receptive vocabulary group by expressive language group would indicate that children with initially lower vs. higher expressive vocabularies who had lower vs. higher receptive vocabulary scores exhibited different mean levels of expressive vocabulary growth over age, i.e., receptive vocabulary level moderates expressive vocabulary development as a function of initial expressive vocabulary size.
Results
Descriptive Statistics
Table 2 presents mean age and raw expressive and receptive vocabulary scores at first administration for children in the higher vs. lower expressive vocabulary groups. As expected, children in the lower expressive vocabulary group had lower raw scores, on average, than the children in the higher group, t(85) = 5.31, p < 0.001, d = .76. Note, however, that raw scores for receptive vocabulary were comparable across expressive vocabulary groups, on average, p = 0.71, with comparable estimates of the variance, suggesting that there was similar variability in raw scores across both groups.
Table 2. Descriptive statistics of age and raw expressive and receptive vocabulary scores at the first administration for children classified with initially higher (n = 71) vs. lower (n = 21) expressive vocabulary scores at 12-16 months.
| Age (months) | Expressive Vocabulary (Raw Scores) |
Receptive Vocabulary (Raw Scores) | ||
|---|---|---|---|---|
| Expressive Vocabulary Group | M (SD) | Range | M (SD) | M (SD) |
| Higher | 13.7 (1.3) | 12 - 16 | 30.4 (30.1) | 133.9 (91.1) |
| Lower | 15.0 (1.1) | 12 - 16 | 10.1 (6.1) | 125.6 (90.3) |
Note: Initial expressive vocabulary group defined at first administration (12-16 months) as > 25th percentile (higher) vs. ≤ 25th percentile (lower). Expressive vocabulary (“understands and says”) and receptive vocabulary (“understands and says” + “understands”) raw scores were based on responses on the vocabulary checklist from the H-CDI (Gendler-Shalev & Dromi, 2022) (max = 428).
Table 3 presents descriptive statistics for expressive vocabulary percentile scores by group and administration. At Administration 1, all children in the higher group, by definition, had scores that were > 25th percentile, whereas all children in the lower group had scores ≤ 25th percentile. At subsequent administrations, expressive vocabulary percentile scores remained lower for the children in the initially lower group compared to those in the higher group, on average, but there was evidence of both developmental continuity and catch up: A total of 13 (of 21, 61.9%) children stayed ≤ 25th percentile at all three administrations, while the remainder moved into the normal range by either the second (n = 4, 19.05%) or the third (n = 4, 19.05%) administration. We can note that all 8 of the children in the initially lower expressive vocabulary group who demonstrated some recovery at administrations 2 and/or 3 had percentile scores > 11th percentile in expressive vocabulary at the first administration. The 13 children in the initially lower group who stayed delayed had percentile scores spanning from 1st to 25th. Interestingly, about two-thirds (48 of 71, 67.6%) of the children with initially higher scores at first administration had scores > 25th percentile at all three administrations, while the remainder (n = 23, 32.4%) had scores ≤ 25th percentile at one or both subsequent administrations.
Table 3 also shows that, at Administration 1, receptive vocabulary percentile scores were generally lower for children with initially lower expressive vocabulary scores than children with initially higher expressive vocabularies. However, note that scores spanned the full range (1 to 99) in each group. That is, some children with initially lower expressive percentile scores scored just as high in receptive vocabulary as children at the same age who had initially higher scores, even though their expressive vocabulary scores were lower. The same pattern held for each subsequent administration, i.e., receptive vocabulary percentiles spanned the full possible range for children in both groups.
Table 3. Descriptive statistics for expressive and receptive vocabulary percentile scores at each administration for children classified with higher (n = 71) or lower (n = 21) initial expressive vocabulary percentiles at first administration (12-16 months).
Expressive Vocabulary (percentile) |
Receptive Vocabulary (percentile) |
||||
|---|---|---|---|---|---|
| Expressive Vocabulary Group | Admin | M (SD) | Min-Max | M (SD) | Min-Max |
| Higher | 1 | 56.3 (18.4) | 28-99 | 52.9 (28.3) | 4-99 |
| 2 | 51.9 (30.5) | 3-98 | 56.7 (27.5) | 1-97 | |
| 3 | 60.3 (27.4) | 5-99 | 61.8 (25.4) | 4-99 | |
| Lower | 1 | 15.1 (8.3) | 1-25 | 36.9 (29.6) | 1-95 |
| 2 | 15.5 (16.2) | 1-57 | 47.8 (28.9) | 2-92 | |
| 3 | 24.7 (22.1) | 1-86 | 44.9 (29.2) | 3-96 |
Note: Group = Initial expressive vocabulary group defined at first administration (12-16 months) as > 25th percentile (higher) vs. ≤ 25th percentile (lower). Expressive and receptive vocabulary percentiles derived from the norming study of the HCDI (Gendler-Shalev & Dromi, 2022).
Modeling Production Vocabulary Growth
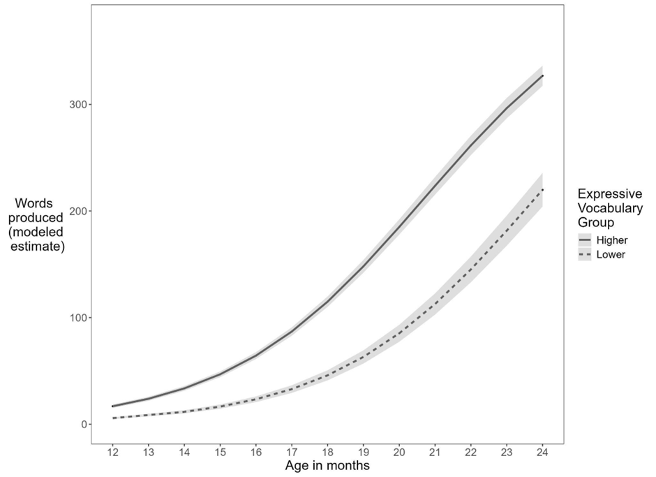
Expressive Vocabulary Group Status. We next sought to model vocabulary growth over age from 12 to 24 months as a function of initial expressive vocabulary group (higher vs. lower). In Table 4, as expected, Model 1 shows that vocabulary scores increased significantly over age, accounting for more than 60% of the variance in scores. Model 2 shows that adding the factor of initial vocabulary group significantly increased the overall fit of the model (LR test = 77.3, p < 0.001), adding approximately 9.6% variance to the overall model fit. As illustrated in Figure 1, children with higher scores at the initial time point were reported to know significantly more words across the period than children with lower initial scores. For example, at 18 months, model estimates indicated that children with initially lower expressive vocabulary scores produced about 46 words, on average, while children with initially higher expressive vocabulary scores were reported to produce more than twice that many, approximately 115 words. By 24 months, this group difference persisted, such that children with lower initial scores were estimated to produce about 220 words, on average, whereas children with higher initial scores were estimated to produce more than 100 more words, about 327 words, on average. Model 3 shows that adding the interaction term did not significantly increase the overall model fit (LR test = 0.31, p = .58), increasing the variance accounted for by less than 0.1%. Thus, Model 2 was the best fitting model, which suggests that, while offset in developmental time, the shapes of the vocabulary growth trajectories were not significantly different for toddlers with initially higher vs. lower expressive vocabulary scores.
Table 4. Model estimates (unstandardized B (SE)) and fit statistics for growth in expressive vocabulary over age by expressive vocabulary group (higher vs. lower initial scores).
| Model 1 | Model 2 | Model 3 | |
|---|---|---|---|
| Age | 0.34 (0.02)*** | 0.37 (0.02)*** | 0.37 (0.02)*** |
| Expressive Group | -- | –1.12 (0.13)*** | –0.58 (0.73) |
| Age x Expressive Group | -- | -- | –0.03 (0.04) |
| Deviance | –452.44 | –529.79*** | –530.00 |
| AIC | –443.75 | –519.04 | –517.63 |
| BIC | –428.03 | –499.59 | –495.23 |
| R2 | 60.8 | 70.4 | 70.4 |
Note: Expressive Group = Initial expressive vocabulary group defined at first administration (12-16 months) as > 25th percentile (higher) vs. ≤ 25th percentile (lower). HIgher = reference group. Model comparisons (Likelihood ratio (LR) tests) for Model 2 are in relation to Model 1 and Model 3 in relation to Model 2.

Figure 1. Predicted expressive vocabulary growth over age for children classified with higher (n = 71) and lower (n = 21) expressive vocabulary at first administration (12-16 months) based on the main effects only model (Model 2). Shaded area indicates +/- 1 SE.
Receptive Vocabulary. Next, we asked whether growth trajectories of expressive vocabulary were moderated by children’s receptive vocabulary level also assessed at the first administration. We tested two percentile cut-offs to explore which comprehension level was most informative for predicting trajectories of expressive vocabulary growth in children with a range of initial expressive vocabulary scores.
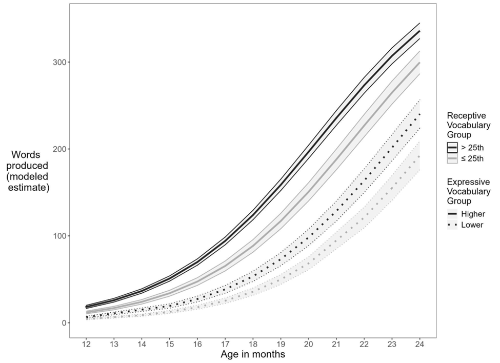
25th Percentile Cutoff. Model 4 shows that adding receptive vocabulary group as a main effect to Model 2 significantly improved overall model fit (LR test = 16.23, p < 0.001), adding about 2% additional variance. Both initial expressive vocabulary group (lower vs. higher) and receptive vocabulary group (lower vs. higher) significantly made a unique contribution to mean expressive vocabulary levels over age. Model 5 adds two-way interaction terms (age x receptive level, and group x receptive level) but did not result in an increase in overall model fit (LR test = 4.34, p = .13). A final model adding the 3-way interaction also did not increase overall model fit (LR test = 4.5, p = .37). Thus, the best-fitting model with this receptive vocabulary level cut off is Model 4. As shown in Figure 2, both children with lower and higher initial expressive vocabulary scores who had receptive vocabulary levels > 25th percentile tended to have larger expressive vocabularies than children who understood fewer words, across the age period.
To further illustrate, at 18 months, the modeled expressive vocabulary size for toddlers with higher scores in both expressive and receptive vocabulary (>25th percentile) was about 124 words, about 35 words higher than for toddlers who had higher expressive scores, but with receptive scores ≤ 25th percentile (88 words). Similarly, the modeled expressive vocabulary size for toddlers with lower initial scores who also had ≤ 25th percentile receptive scores was about 36 words, almost 20 words fewer than for toddlers with lower initial scores who had higher (>25th percentile) receptive scores (54 words). These differences persisted until 24 months, such that toddlers with higher initial expressive scores but lower (≤ 25th percentile) receptive scores were predicted to produce about 300 words, about 35 fewer words than their higher-expressive peers with > 25th percentile receptive scores (336 words). Importantly, by 24 months, toddlers who had lower initial expressive scores and also had ≤ 25th percentile receptive scores were predicted to produce only 193 words, nearly 50 words fewer than their lower-expressive peers with higher receptive scores (240 words).
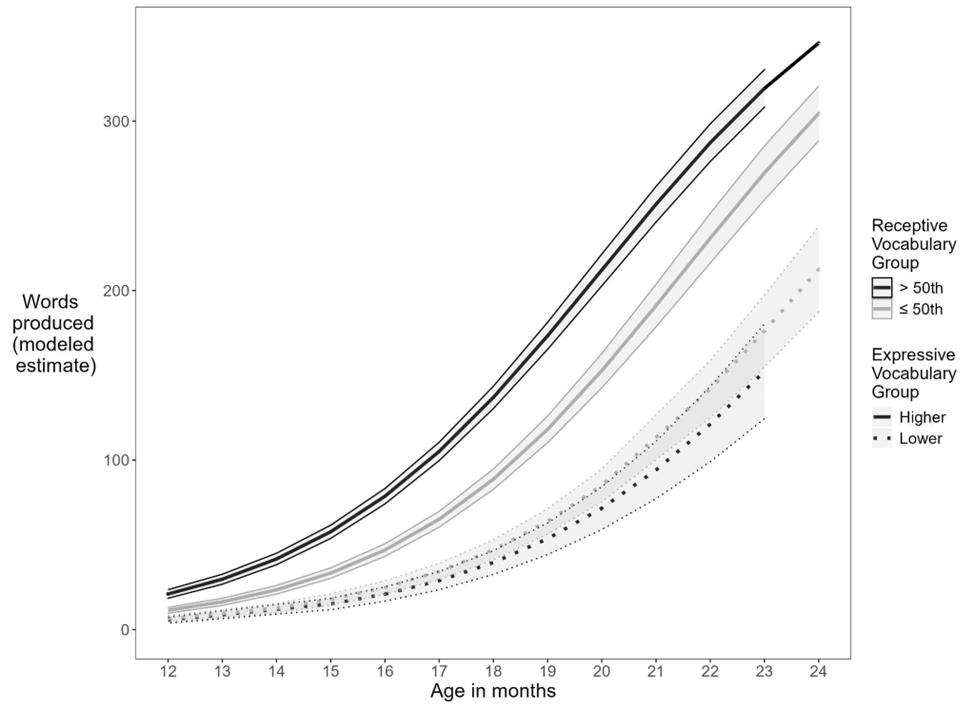
50th Percentile Cutoff. We now explore the role of receptive vocabulary with a more liberal cutoff, i.e., 50th percentile. Similar to the earlier analysis, Model 6 in Table 5 shows that adding receptive vocabulary group as a main effect significantly improved overall model fit compared to Model 2 (LR test = 22.56, p < 0.001), adding about 2% additional variance. Thus, across children with both higher and lower initial expressive vocabulary scores, children who were in the top half of the distribution in receptive vocabulary scores had higher expressive vocabularies than children in the lower half of the distribution. However, unlike with the 25th percentile cutoff, Model 7 shows that the addition of the two-way interactions significantly improved model fit (LR test = 9.98, p = 1.02). Specifically, +/-50th receptive level affected the expressive vocabulary growth of children differently in children in the higher vs. lower initial expressive vocabulary groups. As shown in Figure 3, a receptive group difference was evident for the children with higher initial vocabulary scores, but not for children with lower initial vocabulary scores. Follow-up analyses confirmed that for the children with higher initial expressive scores, receptive vocabulary level (+/- 50th) was a significant predictor of expressive vocabulary overall (𝜷 = –0.58, p < 0.001), with no interaction with age (𝜷 = –0.01, p = 0.86), suggesting that the effects were consistent across the age period. In contrast, receptive vocabulary level was not a significant predictor of expressive vocabulary for children with lower initial expressive vocabulary scores (𝜷 = 0.24, p = 0.21) nor in interaction with age (𝜷 = 0.02, p = 0.79). Thus, for children who were saying relatively fewer words between 12-16 months, knowing that their receptive skills were above the median did not provide additional information about their future growth in expressive vocabulary.
Table 5. Model estimates (unstandardized B (SE)) and fit statistics for growth in expressive vocabulary over age by initial expressive vocabulary group (higher vs. lower) and two cut-offs for higher vs. lower comprehension level (25th or 50th).
| Receptive Vocabulary Group | ||||
|---|---|---|---|---|
| 25th percentile cutoff | 50th percentile cutoff | |||
| Model 4 | Model 5 | Model 6 | Model 7 | |
| Age | 0.37 (0.02)*** | 0.38 (0.02)*** | 0.37 (0.02)*** | 0.37 (0.02)*** |
| Expressive Group | –1.05 (0.13)*** | –0.90 (0.74) | –1.08 (0.13)*** | –1.03 (0.74) |
| Receptive Group | –0.45 (0.11)*** | 0.35 (0.60) | –0.46 (0.10)*** | –0.74 (0.53) |
| Age x Expressive Group | – | –0.02 (0.03) | – | –0.03 (0.04) |
| Age x Receptive Group | -- | –0.05 (0.03) | – | 0.01 (0.03) |
| Expressive x Receptive | -- | 0.39 (0.26) | – | 0.78 (0.26)** |
| Deviance | –545.92*** | –550.41 | –552.24*** | –561.76* |
| AIC | –533.53 | –531.65 | –539.85 | –543.44 |
| BIC | –511.10 | –497.68 | –517.41 | –509.45 |
| R2 | 72.0 | 72.5 | 72.7 | 73.6 |
Note: Expressive Group = Initial expressive vocabulary group defined at first administration (12-16 months) as > 25th percentile (higher) vs. ≤ 25th percentile (lower). Higher = reference group. Receptive Group = Initial receptive vocabulary group defined at first administration using either > 25th or > 50th percentile (higher) vs. ≤ 25th or ≤ 50th percentile (lower). Model comparisons (Likelihood ratio (LR) tests) for Models 4 and 6 are in relation to Model 2 (Table 4), Model 5 is in relation to Model 4, and Model 7 in relation to Model 6.
To further illustrate, at 18 months, the modeled expressive vocabulary size for children with higher initial expressive vocabulary scores and with > 50th percentile initial receptive scores was about 137 words, about 48 words higher than for their higher-expressive peers with receptive scores ≤ 50th percentile (89 words). This difference persisted until 24 months, such that higher-expressive toddlers with > 50th percentile receptive scores were predicted to produce about 346 words, about 42 more words than their higher-expressive peers with ≤ 50th percentile receptive scores (304 words). However, the modeled expressive vocabulary size for toddlers with lower initial expressive vocabularies was not different for children with ≤ 50th percentile receptive scores at both ages (18 months: 47 words; 24 months: 212 words) vs. those with > 50th percentile receptive scores (18 months: 39 words; 24 months: 186 words).

Figure 2. Predicted expressive vocabulary growth over age for children classified by initial expressive vocabulary size as higher (n = 71) vs. lower (n = 21) and as > 25th (higher) vs. ≤ 25th percentile (lower) in receptive vocabulary based on Model 4. Shaded area represents +/- 1 SE.

Figure 3. Predicted expressive vocabulary growth over age for children initially classified as higher (n = 71) and lower (n = 21) in expressive vocabulary and as > 50th (higher) vs. ≤ 50th (lower) in receptive vocabulary at first administration (12-16 months) based on Model 7. Shaded area represents +/- 1 SE.
In summary, across both initial expressive vocabulary groups, classifying children based on receptive vocabulary levels below/above the 25th percentile gave additional information about expressive vocabulary growth, such that children with higher receptive skills predicted consistently larger expressive vocabularies throughout development. This lack of a significant moderation must be interpreted with caution, and we invite future research to replicate these findings in larger and other language samples. In contrast, when a more liberal cut-off was used, information about receptive level was only informative for children with higher initial expressive vocabulary scores. Simply falling below the 50th percentile did not add additional predictive power beyond expressive vocabulary alone for children with initially lower expressive scores.
Discussion
This study used longitudinal growth modeling to investigate trajectories of expressive vocabulary growth from 12 to 24 months in toddlers learning Hebrew. There were three main group level findings. First, children who were ≤ 25th percentile in vocabulary development at first administration, i.e., lower initial expressive vocabulary, showed lower average vocabulary scores throughout the second year of life, compared to their peers with higher initial scores. Initial expressive vocabulary group status identified prior to 16 months was a significant predictor of vocabulary size over the second year. Thus, despite large variability across individuals (38% of the children who were classified in the lower group at the first administration moved into the normal range at the second or third administration), an early assay of a child’s expressive vocabulary size relative to peers in the same age group can yield critical information regarding that child’s trajectory of expressive vocabulary growth over the next several months.
Second, in spite of overall delays, initial expressive vocabulary group status did not significantly moderate the shape of the age-related trajectories of vocabulary growth. That is, our analyses suggested that toddlers across the full continuum of expressive vocabulary levels showed the same general pattern of growth, on average, over the period studied. This parallel growth trajectory suggests that toddlers with and without initial delays follow a similar developmental path, possibly reflecting similar mechanisms of learning in children with all ability levels. While it is possible that our study was not sufficiently powered to statistically detect a moderation, the interaction term contributed very little variance (< 1%) to the overall model and estimates appeared to be reasonably precise, relative to the other fixed effects of group and age. Future studies are necessary to further explore whether this pattern of findings replicates in larger samples and in other language communities. On the other hand, trajectories of expressive vocabulary growth were significantly developmentally delayed for the toddlers with initially lower expressive vocabulary scores on average, compared to their higher scoring peers. While it is unknown which (if any) of these children ultimately received a clinical diagnosis of language disorder, this study suggests some degree of developmental continuity in children at both the higher and lower-ends of the early expressive vocabulary spectrum.
We next asked whether skills involving comprehension may moderate expressive vocabulary growth trajectories differently for children at the higher- and lower-ends of the continuum of expressive vocabulary at 12-16 months. This question is particularly interesting given that receptive vocabulary scores were generally lower in the children with lower vs. higher expressive vocabulary groups, however, receptive vocabulary scores spanned the full possible range in both groups. We tested two groupings on receptive vocabulary percentile, one that was analogous to our grouping for expressive language (25th percentile) and another that was more lenient (50th percentile). Thus, our third main finding was that grouping children < 25th percentile added information beyond initial expressive vocabulary group status in predicting expressive vocabulary growth until 24 months. Thus, for children in this age range, these results suggest that lower early receptive vocabulary skills are important to monitor and that receptive skills operate in tandem with expressive language abilities in promoting vocabulary growth (e.g., Bergelson et al., 2020; Fernald & Marchman, 2012). However, when the 50th percentile cut-off was used, information about receptive level was only informative in children with higher initial expressive vocabulary scores; simply falling below the median did not predict lower levels of expressive vocabulary growth for children who initially fell behind their peers in expressive vocabulary.
In general, this pattern of findings suggests that better early receptive abilities can provide a boost to expressive vocabulary development regardless of initial expressive vocabulary level, not just in children at the lowest-end of the continuum. At the same time, these results provide additional precision to the claim that low receptive skills may confer additional risk for those children with early expressive delays, by showing that only receptive levels in the bottom quartile were predictive of continued slowing of expressive vocabulary development. These results are consistent with those of earlier studies showing that children with concomitant receptive and expressive delays are likely to be more at risk for later language learning difficulties, compared to their peers with initial delays who do not also show comprehension delays (Buschmann et al., 2008; Thal et al., 2013). Our results expand this literature in two ways. First, they show that early receptive skills can be informative as early as 16 months. Second, that information is most useful for predicting expressive language growth for initially-delayed toddlers when it reflects relatively low levels of skill, rather than just moderate delays.
From a theoretical perspective, several insights emerged. First, evidence for continuity of growth rates throughout the second year of life indicates that early expressive skills could be an indicator of delayed foundational abilities, similar to that observed in children at older ages (e.g., Bornstein et al., 2016). Second, the generally comparable trajectories of lexical development in children with both higher and lower initial expressive vocabulary implies that linguistic skills follow a similar trajectory across the ability continuum, even when they manifest later in development. Third, although expressive and receptive vocabulary skills are interconnected, they are fortified by separate sets of underlying processes (Cheung et al., 2022). This suggests that comprehension skills play an important role in boosting expressive vocabulary development in children across the expressive language continuum (Bergelson et al., 2020; Fernald & Marchman, 2012).
These results have important clinical implications. First, continuities in early vocabulary development are observable even when assessed early in the second year of life. Monitoring of expressive vocabulary skills even early in development can provide useful information for children’s development at least through the second year, when more comprehensive assessments are likely to be more feasible. Further, these results reinforce the significance of monitoring both receptive and expressive vocabulary skills as potential risk factors for difficulties in later language and literacy development. Moreover, the assessment of comprehension skills, as well as the enhancement of receptive vocabulary skills, should be considered as important targets in the early facilitation of vocabulary learning. While we cannot address this issue empirically with the data we have available here, higher scores in comprehension abilities among children with initial delays could potentially signify a chance for eventual “catching up” prior to the age of 3 years, when clinical evaluations are considered to be more robust. It would be useful for future studies to replicate our findings with children identified with delays early in development and following them into the 3rd year of life and beyond to further understand the processes underlying comprehension and production in relation to later language outcomes.
Limitations
While the longitudinal nature of our sample was a strength, the sample was relatively small and consisted of primarily higher-SES families, the majority coming from caregivers with college educations. Moreover, it is possible that our study was not sufficiently powered to statistically detect moderations. Future studies should explore whether these patterns of findings replicate in larger and more sociolinguistically-diverse samples and specifically test whether socioeconomic status moderates the observed patterns of developmental change. Second, data were only available until the children were 24 months. We do not know whether children with lower levels of initial expressive vocabulary as we have defined it here, i.e., < 25th percentile between 12-16 months, continued to show a similar degree of continuity after 2 years of age. It should be noted that there may have been other predictors or moderators that were not explored here, e.g., the presence or absence of a family history of developmental language disorders, cognitive maturation, or the use of communicative or symbolic gestures. Finally, the present analysis was based on quantitative data and represented group differences. Single case studies that allow a closer look on the interplay between production and comprehension at the early phases of lexical learning are desirable as a complement to the current analyses.
Conclusions
This study presented a unique look at growth trajectories in expressive vocabulary beginning early in the second year of life in Hebrew-speaking toddlers. Results indicated that low expressive and receptive vocabulary levels were each significant indicators of more protracted expressive vocabulary development. Similarities were observed in the general shapes of the growth trajectories in children identified with both higher and lower initial levels of expressive skill. Taken together, these results provide new evidence regarding the stability of early language skills and suggest parallel mechanisms guiding expressive language development in children who span the full continuum of ability levels. Moreover, these results add to the existing literature that early comprehension abilities buttress early productive skills early in development for children across the expressive ability spectrum. From a clinical perspective, these results suggest that monitoring of low levels of receptive, as well as expressive, skills as early as 16 months can provide useful information regarding trajectories of expressive vocabulary growth through 24 months of age.
References
Bates, E., Marchman, V. A., Thal, D., Fenson, L., Dale, P., Reznick, J. S., … Hartung, J. (1994). Developmental and stylistic variation in the composition of early vocabulary. Journal of Child Language, 21(1), 85–123. https://doi.org/10.1017/S0305000900008680
Bergelson, E. (2020). The comprehension boost in early word learning: Older infants are better learners. Child Development Perspectives, 14(3), 142-149. https://doi.org/10.1111/cdep.12373
Bergelson, E., & Swingley, D. (2012). At 6–9 months, human infants know the meanings of many common nouns. Proceedings of the National Academy of Sciences, 109(9), 3253-3258. https://doi.org/10.1073/pnas.1113380109
Bleses, D., Basbøll, H., & Vach, W. (2011). Is Danish difficult to acquire? Evidence from Nordic past-tense studies. Language and Cognitive Processes, 26(8), 1193–1231. https://doi.org/10.1080/01690965.2010.515107
Bleses, D., Makransky, G., Dale, P. S., Højen, A., & Ari, B. A. (2016). Early productive vocabulary predicts academic achievement 10 years later. Applied Psycholinguistics, 37(6), 1461–1476. https://doi.org/10.1017/S0142716416000060
Bleses, D., Vach, W., Slott, M., Wehberg, S., Thomsen, P., Madsen, T. O., & Basbøll, H. (2008a). Early vocabulary development in Danish and other languages: a CDI-based comparison. Journal of Child Language, 35(3), 619–650. https://doi.org/10.1017/S0305000908008714
Bleses, D., Vach, W., Slott, M., Wehberg, S., Thomsen, P., Madsen, T. O., & Basbøll, H. (2008b). The Danish Communicative Developmental Inventories: Validity and main developmental trends. Journal of Child Language, 35(3), 651–669. https://doi.org/10.1017/S0305000907008574
Bornstein, M. H., Hahn, C.-S., & Putnick, D. L. (2016). Stability of core language skill across the first decade of life in children at biological and social risk. Journal of Child Psychology and Psychiatry, 57(12), 1434–1443. https://doi.org/10.1111/jcpp.12632
Braginsky, M., Yurovsky, D., Marchman, V. A., & Frank, M. C. (2019). Consistency and variability in children’s word learning across languages. Open Mind, 3, 52-67.https://doi.org/10.1162/opmi_a_00026
Buschmann, A., Jooss, B., Rupp, A., Dockter, S., Blaschtikowitz, H., Heggen, I., & Pietz, J. (2008). Children with developmental language delay at 24 months of age: results of a diagnostic work‐up. Developmental Medicine & Child Neurology, 50(3), 223-229. https://doi.org/10.1111/j.1469-8749.2008.02034.x
Carson, C. P., Klee, T., Carson, D. K., & Hime, L. K. (2003). Phonological profiles of 2-year-olds with delayed language development: Predicting clinical outcomes at age 3. American Journal of Speech-Language Pathology, 12(1), 28-39. https://doi.org/10.1044/1058-0360(2003/050)
Cheung, R. W., Hartley, C., & Monaghan, P. (2022). Receptive and expressive language ability differentially support symbolic understanding over time: Picture comprehension in late talking and typically developing children. Journal of Experimental Child Psychology, 214, 105305. https://doi.org/10.1016/j.jecp.2021.105305
Dale, P. S., Price, T. S., Bishop, D. V. M., & Plomin, R. (2003). Outcomes of early language delay: I. Predicting persistent and transient language difficulties at 3 and 4 years. Journal of Speech, Language, and Hearing Research, 46, 544–560. https://doi.org/10.1044/1092-4388(2003/044)
deMayo, B., Kellier, D., Braginsky, M., Bergmann, C., Hendriks, C., Rowland, C., … Marchman, V. A. (2021). Web-CDI: A system for online administration of the MacArthur-Bates Communicative Development Inventories. Language Development Research, 1(1), 55–98. https://doi.org/10.34842/kr8e-w591
Dromi, E. (1987). Early lexical development. Cambridge University Press.
Edwards, N. M., Kaiser, E., & Stapel-Wax, J. L. (2021). Investigating a “wait and see” mindset among pediatric health care providers missed opportunities to refer toddlers with autism spectrum disorder to part c early intervention. Infants and Young Children, 34(4), 284–305. https://doi.org/10.1097/IYC.0000000000000201
Fenson, L., Dale, P., Reznick, J., Bates, E., Thal, D., & Pethick, S. (1994). Variability in early communicative development. Monographs of the Society for Research in Child Development, 59(5), 1–173. https://doi.org/10.2307/1166093
Fernald, A., & Marchman, V. A. (2012). Individual differences in lexical processing at 18 months predict vocabulary growth in typically developing and late-talking toddlers. Child Development, 83(1), 203–222. https://doi.org/10.1111/j.1467-8624.2011.01692.x
Fisher, E. L. (2017). A systematic review and meta-analysis of predictors of expressive-language outcomes among late talkers. Journal of Speech, Language, and Hearing Research, 60(10), 2935–2948. https://doi.org/10.1044/2017_JSLHR-L-16-0310
Frank, M. C., Braginsky, M., Yurovsky, D., & Marchman, V. A. (2021). Variability and Consistency in Early Language Learning: The Wordbank Project. MIT Press.
Gendler-Shalev, H., & Dromi, E. (2022). The Hebrew Web Communicative Development Inventory (MB-CDI): Lexical development growth curves. Journal of Child Language, 49(3), 486–502. https://doi.org/10.1017/S0305000921000179
Gendler-Shalev, H., & Novogrodsky, R. (2024). Word characteristics of late talkers’ early lexicon. First Language, 44(5), 507-532. https://doi.org/10.1177/01427237241269568
Gershkoff-Stowe L, & Hahn E. R. (2013). Word comprehension and production asymmetries in children and adults. Journal of Experimental Child Psychology, 114, 489–509. https://doi:10.1016/j.jecp.2012.11.005
Hadley, P. A., & Holt, J. K. (2006). Individual differences in the onset of tense marking: A growth-curve analysis. Journal of Speech, Language, and Hearing Research, 49, 984–1000. https://doi.org/10.1044/1092-4388(2006/071)
Hadley, P. A., & Short, H. (2005). The onset of tense marking in children at risk for specific language impairment. Journal of Speech, Language, and Hearing Research, 48(6), 1344-1362. https://doi.org/10.1044/1092-4388(2005/094
Hall, S., Rumney, L., Holler, J., & Kidd, E. (2013). Associations among play, gesture and early spoken language acquisition. First Language, 33(3), 294-312. https://doi:10.1177/0142723713487618
Hao, M., Shu, H., Xing, A., & Li, P. (2008). Early vocabulary inventory for Mandarin Chinese. Behavior Research Methods, 40(3), 728–733. https://doi.org/10.3758/BRM.40.3.728
Jiménez, E., Haebig, E., & Hills, T. T. (2021). Identifying areas of overlap and distinction in early lexical profiles of children with autism spectrum disorder, late talkers, and typical talkers. Journal of Autism and Developmental Disorders, 51(9), 3109-3125. https://doi.org/10.1007/s10803-020-04772-1
Jones, S. S. (2003). Late talkers show no shape bias in a novel name extension task. Developmental Science, 6(5), 477-483. https://doi:10.1111/1467-7687.00304
Jones, S. D., & Brandt, S. (2019). Neighborhood density and word production in delayed and advanced learners. Journal of Speech, Language, and Hearing Research, 62(8), 2847-2854. https://doi.org/10.1044/2019_JSLHR-L-18-0468
Kalashnikova, M., Schwarz, I.-C., & Burnham, D. (2016). OZI: Australian English Communicative Development Inventory. First Language, 36(4), 407–427. https://doi.org/10.1177/0142723716648846
Marchman, V. A., Dale, P. S., & Fenson, L. (2023). The MacArthur-Bates Communicative Development Inventories: User’s Guide and Technical Manual. (V. A. Marchman, P. S. Dale, & L. Fenson, Eds.) (3rd Edition). Brookes Publishing Co.
McDonough, C., Song, L., Hirsh-Pasek, K., Golinkoff, R. M., & Lannon, R. (2011). An image is worth a thousand words: Why nouns tend to dominate verbs in early word learning. Developmental Science, 14(2), 181–189. https://doi.org/10.1111/j.1467-7687.2010.00968.x
Meylan, S. C., & Bergelson, E. (2022). Learning through processing: Toward an integrated approach to early word learning. Annual Review of Linguistics, 8, 77-99. https://doi.org/10.1146/annurev-linguistics-031220-011146
Moyle, M. J., Weismer, S. E., Evans, J. L., & Lindstrom, M. J. (2007). Longitudinal relationships between lexical and grammatical development in typical and late-talking children. Journal of Speech, Language, and Hearing Research, 50, 508–528. https://doi.org/10.1044/1092-4388(2007/035
R_Core_Team. (2020). R: A language and environment for statistical computing. R Foundation for Statistical Computing.
Rescorla, L. (1989). The Language Development Survey: A screening tool for delayed language in toddlers. Journal of Speech and Hearing Disorders, 54, 587–599. https://doi.org/10.1044/jshd.5404.587
Rescorla, L. (2009). Age 17 language and reading outcomes in late-talking toddlers: Support for a dimensional perspective on language delay. Journal of Speech, Language, and Hearing Research, 52, 16–30. https://doi.org/10.1044/1092-4388(2008/07-0171)
Rescorla, L. (2011). Late talkers: Do good predictors of outcome exist? Developmental Disabilities Research Reviews, 17(2), 141–150. https://doi.org/10.1002/ddrr.1108
Rescorla, L., & Dale, P. S. (2013). Late talkers: Language Development, Interventions, and Outcomes. Brookes Publishing Co.
Singleton, N. C. (2018). Late Talkers: Why the wait-and-see approach is outdated. Pediatric Clinics, 65(1), 13–29. https://doi.org/10.1016/j.pcl.2017.08.018
Stasinopoulos, M. D., Rigby, R. A., Heller, G. A., Voudouris, V., & De Bastiani, F. (2017). Flexible smoothing using GAMLSS in R (1st ed.). CRC Press.
Thal, D. J., Marchman, V. A., & Tomblin, J. B. (2013). Late-talking toddlers: Characterization and prediction of continued delay. In L. A. Rescorla & P. S. Dale (Eds.), Late talkers: Language development, interventions, and outcomes (pp. 169–201). Paul H. Brookes Publishing Co.
Thal, D. J., Reilly, J., Seibert, L., Jeffries, R., & Fenson, J. (2004). Language development in children at risk for language impairment: Cross-population comparisons. Brain and Language, 88(2), 167-179. https://doi.org/10.1016/S0093-934X(03)00096-8
Thal, D., & Tobias, S. (1994). Relationships between language and gesture in normally developing and late-talking toddlers. Journal of Speech & Hearing Research, 37(1), 157-170. https://doi.org/10.1044/jshr.3701.15
Ukoumunne, O. C., Wake, M., Carlin, J., Bavin, E. L., Lum, J., Skeat, J., ... & Reilly, S. (2012). Profiles of language development in pre‐school children: a longitudinal latent class analysis of data from the Early Language in Victoria Study. Child: Care, Health and Development, 38(3), 341-349. https://doi.org/10.1111/j.1365-2214.2011.01234.x
Vehkavuori, S. M., & Stolt, S. (2019). Early lexicon and language skills at 42 months. Clinical Linguistics & Phonetics, 33(9), 854-868. https://doi.org/10.1080/02699206.2019.1584721
Verganti, C., Suttora, C., Zuccarini, M., Aceti, A., Corvaglia, L., Bello, A., ... & Sansavini, A. (2024). Lexical skills and gesture use: A comparison between expressive and receptive/expressive late talkers. Research in Developmental Disabilities, 148, 104711. https://doi.org/10.1016/j.ridd.2024.104711
Whitehurst, G. J., & Fischel, J. E. (1994). Practitioner Review: Early developmental language delay: What, if anything, should the clinician do about it? Journal of Child Psychology and Psychiatry, 35(4), 613–648. https://doi.org/10.1111/j.1469-7610.1994.tb01210.x
Data, Code and Materials Availability
The Hebrew webCDI is available at https://webcdi.org/. The data and code to generate these analyses are available at https://github.com/vmarchman/Vocab-Hebrew
Ethics Statement
Ethics approval was obtained from the ethics committee of the University of Tel-Aviv. All participants gave informed written consent before taking part in the study.
Authorship and Contributorship Statement
All authors conceived of the study. Hila Gendler-Shalev and Virginia A. Marchman designed the study. Hila Gendler-Shalev and Esther Dromi collected the data. Virginia A. Marchman analyzed the data. Hila Gendler-Shalev and Virginia A. Marchman wrote the first draft of the manuscript. All authors revised the manuscript and approved the final version. All authors agree to be accountable for all aspects of the work in ensuring that questions related to the accuracy or integrity of any part of the work are appropriately investigated and resolved.
Acknowledgments
We would like to thank the families who participated in our study. We would also like to thank the editor and reviewers, as well as Alvin Tan, George Kachergis, and Michael Frank for their valuable assistance with statistical analysis. Their insightful comments and suggestions significantly improved the quality of this manuscript.
License
Language Development Research (ISSN 2771-7976) is published by TalkBank and the Carnegie Mellon University Library Publishing Service. Copyright © 2025 The Author(s). This work is distributed under the terms of the Creative Commons Attribution-Noncommercial 4.0 International license (https://creativecommons.org/licenses/by-nc/4.0/), which permits any use, reproduction and distribution of the work for noncommercial purposes without further permission provided the original work is attributed as specified under the terms available via the above link to the Creative Commons website.
In line with the definition of a “word” in other language development studies (Dromi, 1987; Frank et al., 2021), we define a word as a linguistic unit that carries a consistent meaning understood by another person. The word can be a childish mispronunciation (e.g., ‘all’ for ball, or ‘nana’ for banana).↩︎
This group may be termed differently in the literature. Some researchers refer to this group as LT (e.g., Rescorla, 2011; Fisher, 2017). However, given the young age of our participants and the broad developmental variability at this stage, we opt for the more nuanced term “lower” to be consistent with the approach taken by Vehkavuori & Stolt (2019).↩︎
